首页
院系概况
院系简介
专业设置
师资队伍
教学科研
教务信息
教学成果
职业技能
实践教学
实践基地
实践导师
创新创业
党建工作
党建动态
理论学习
学生党建
党务公开
团学工作
管理制度
团学活动
志愿活动
奖助勤贷
心理健康
招生就业
招生信息
就业信息
社会服务
校企合作
教育培训
高质量“平安校园”
优秀校友
下载专区
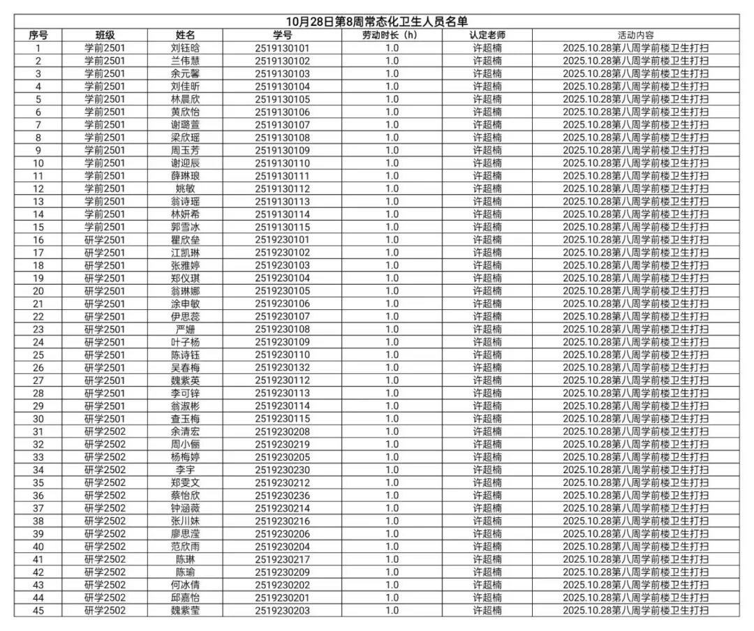
看这里!学前楼第八周劳育名单公布
发布日期:2025-10-29
访问量 :
89
劳育教育 学前楼开展常态化卫生大扫除
与秋天相遇
打扫前:
打扫后:
责任编辑:学前教育系媒体部
一审:许超楠
二审:
翁秀琴
三审:李超
联系我们
电话:0594-7651125
Email:mzyjcb@163.com
友情链接
测试数据1
测试数据2
测试数据3
测试数据4
测试数据5
测试数据6